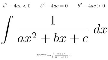
PROBLEMS BASED ON INTEGRAL OF THE FORM 1/ (ax^2+bx+c) || INTEGRAL OF 1/ ax^2+bx+c

Tonton & Download Video Musik Gratis

⬇ DOWNLOAD NOW
Kalau muncul iklan pop-up, tutup lalu klik tombol kembali

Download lagu PROBLEMS BASED ON INTEGRAL OF THE FORM 1/ (ax^2+bx+c) || INTEGRAL OF 1/ ax^2+bx+c secara gratis hanya untuk keperluan promosi. Dukung artis favorit kamu dengan membeli musik original di iTunes atau platform resmi lainnya.