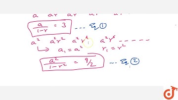
The sum of intinite number of terms of a decreasing G.P.is 4 and the sum of the squares of its t...

Tonton & Download Video Musik Gratis

⬇ DOWNLOAD NOW
Kalau muncul iklan pop-up, tutup lalu klik tombol kembali

Download lagu The sum of intinite number of terms of a decreasing G.P.is 4 and the sum of the squares of its t... secara gratis hanya untuk keperluan promosi. Dukung artis favorit kamu dengan membeli musik original di iTunes atau platform resmi lainnya.