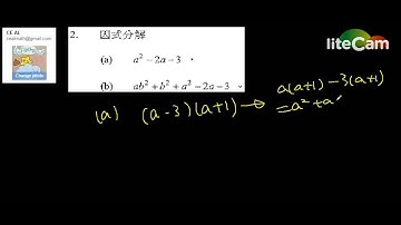
2014 HKDSE Maths Core Paper 2 Solution q2, Simplification(化簡) x Factorization(因式分解)

Tonton & Download Video Musik Gratis

⬇ DOWNLOAD NOW
Kalau muncul iklan pop-up, tutup lalu klik tombol kembali

Download lagu 2014 HKDSE Maths Core Paper 2 Solution q2, Simplification(化簡) x Factorization(因式分解) secara gratis hanya untuk keperluan promosi. Dukung artis favorit kamu dengan membeli musik original di iTunes atau platform resmi lainnya.