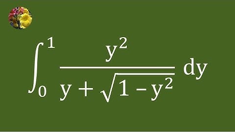
2nd method to evaluate the definite integral using a variety of techniques (Mis 3258A)

Tonton & Download Video Musik Gratis

⬇ DOWNLOAD NOW
Kalau muncul iklan pop-up, tutup lalu klik tombol kembali

Download lagu 2nd method to evaluate the definite integral using a variety of techniques (Mis 3258A) secara gratis hanya untuk keperluan promosi. Dukung artis favorit kamu dengan membeli musik original di iTunes atau platform resmi lainnya.