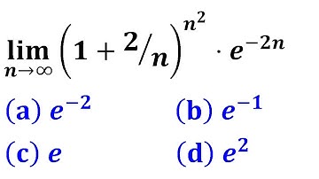
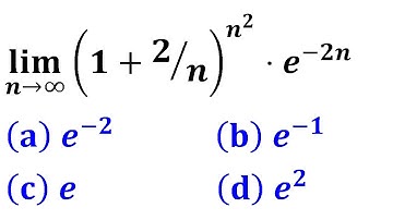
lim (1+1/x)^x Limit and indeterminate form Lhopital rule IIT Jam 2018 Mathematical Statistics

Tonton & Download Video Musik Gratis

⬇ DOWNLOAD NOW
Kalau muncul iklan pop-up, tutup lalu klik tombol kembali

Download lagu lim (1+1/x)^x Limit and indeterminate form Lhopital rule IIT Jam 2018 Mathematical Statistics secara gratis hanya untuk keperluan promosi. Dukung artis favorit kamu dengan membeli musik original di iTunes atau platform resmi lainnya.