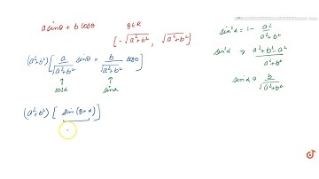
Which of the following has the maximum value unity: (a)` sin^2x-cos^2x` (b)` (sin2x...

Tonton & Download Video Musik Gratis

⬇ DOWNLOAD NOW
Kalau muncul iklan pop-up, tutup lalu klik tombol kembali

Download lagu Which of the following has the maximum value unity: (a)` sin^2x-cos^2x` (b)` (sin2x... secara gratis hanya untuk keperluan promosi. Dukung artis favorit kamu dengan membeli musik original di iTunes atau platform resmi lainnya.