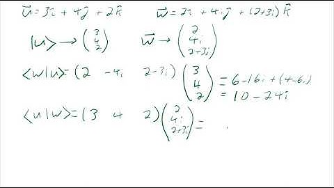
Practice With Bra-Ket Notation - Griffiths Quantum Problem 3.26

Tonton & Download Video Musik Gratis

⬇ DOWNLOAD NOW
Kalau muncul iklan pop-up, tutup lalu klik tombol kembali

Download lagu Practice With Bra-Ket Notation - Griffiths Quantum Problem 3.26 secara gratis hanya untuk keperluan promosi. Dukung artis favorit kamu dengan membeli musik original di iTunes atau platform resmi lainnya.