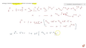
Using binomial theorem, prove that `6^n-5n` always leaves he remainder 1 when divided by 25.

Tonton & Download Video Musik Gratis

⬇ DOWNLOAD NOW
Kalau muncul iklan pop-up, tutup lalu klik tombol kembali

Download lagu Using binomial theorem, prove that `6^n-5n` always leaves he remainder 1 when divided by 25. secara gratis hanya untuk keperluan promosi. Dukung artis favorit kamu dengan membeli musik original di iTunes atau platform resmi lainnya.