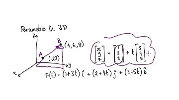
Video 3247 - Line Integral, Position Vector, 3D, Geogebra

Tonton & Download Video Musik Gratis

⬇ DOWNLOAD NOW
Kalau muncul iklan pop-up, tutup lalu klik tombol kembali

Download lagu Video 3247 - Line Integral, Position Vector, 3D, Geogebra secara gratis hanya untuk keperluan promosi. Dukung artis favorit kamu dengan membeli musik original di iTunes atau platform resmi lainnya.