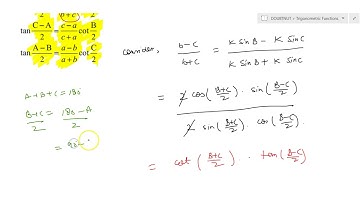
In triangle ABC, prove that `tan(B-C)/2=(b-c)/(b+c)cotA/2` `tan(C-A)/2=(c-a)/(c+a)cotB/2` `tan(A...

Tonton & Download Video Musik Gratis

⬇ DOWNLOAD NOW
Kalau muncul iklan pop-up, tutup lalu klik tombol kembali

Download lagu In triangle ABC, prove that `tan(B-C)/2=(b-c)/(b+c)cotA/2` `tan(C-A)/2=(c-a)/(c+a)cotB/2` `tan(A... secara gratis hanya untuk keperluan promosi. Dukung artis favorit kamu dengan membeli musik original di iTunes atau platform resmi lainnya.