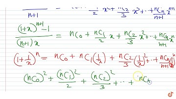
Prove that : 2. C_0 + (2^2 〖.C〗_1)/2 + (2^3 〖.C〗_2)/3 + (2^4.C_3)/4 + …… + (2^(n+1).C_n)/(n+1) = (3^

Tonton & Download Video Musik Gratis

⬇ DOWNLOAD NOW
Kalau muncul iklan pop-up, tutup lalu klik tombol kembali

Download lagu Prove that : 2. C_0 + (2^2 〖.C〗_1)/2 + (2^3 〖.C〗_2)/3 + (2^4.C_3)/4 + …… + (2^(n+1).C_n)/(n+1) = (3^ secara gratis hanya untuk keperluan promosi. Dukung artis favorit kamu dengan membeli musik original di iTunes atau platform resmi lainnya.