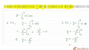
The intercepts of X-axis made by tangents to the curve y=∫0 to x |t| dt which are parallel to y=2x

Tonton & Download Video Musik Gratis

⬇ DOWNLOAD NOW
Kalau muncul iklan pop-up, tutup lalu klik tombol kembali

Download lagu The intercepts of X-axis made by tangents to the curve y=∫0 to x |t| dt which are parallel to y=2x secara gratis hanya untuk keperluan promosi. Dukung artis favorit kamu dengan membeli musik original di iTunes atau platform resmi lainnya.