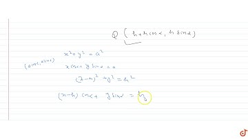
A circle `C_1`, of radius `2` touches both `x`-axis and `y`- axis. Another circle `C_1` whose r...

Tonton & Download Video Musik Gratis

⬇ DOWNLOAD NOW
Kalau muncul iklan pop-up, tutup lalu klik tombol kembali

Download lagu A circle `C_1`, of radius `2` touches both `x`-axis and `y`- axis. Another circle `C_1` whose r... secara gratis hanya untuk keperluan promosi. Dukung artis favorit kamu dengan membeli musik original di iTunes atau platform resmi lainnya.