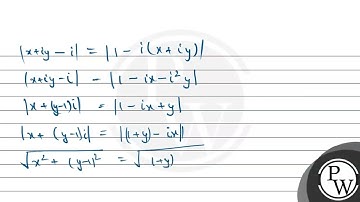
If z=x+iy and ω=(1-iz)/(z-i), then |ω|=1, implies that in the complex plane,

Tonton & Download Video Musik Gratis

⬇ DOWNLOAD NOW
Kalau muncul iklan pop-up, tutup lalu klik tombol kembali

Download lagu If z=x+iy and ω=(1-iz)/(z-i), then |ω|=1, implies that in the complex plane, secara gratis hanya untuk keperluan promosi. Dukung artis favorit kamu dengan membeli musik original di iTunes atau platform resmi lainnya.