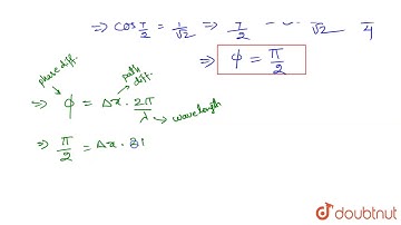
The ratio of amplitudes of two coherent waves in Young's double-slit experiment is A1/A2=1/3 What is

Tonton & Download Video Musik Gratis

⬇ DOWNLOAD NOW
Kalau muncul iklan pop-up, tutup lalu klik tombol kembali

Download lagu The ratio of amplitudes of two coherent waves in Young's double-slit experiment is A1/A2=1/3 What is secara gratis hanya untuk keperluan promosi. Dukung artis favorit kamu dengan membeli musik original di iTunes atau platform resmi lainnya.