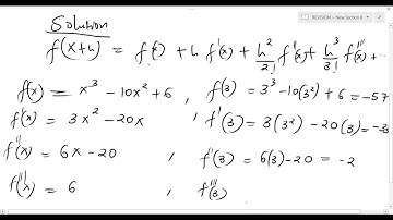
Q3a. Maclaurin series expansion of f(x) | VTU Solved Question Paper - 18MAT11

Tonton & Download Video Musik Gratis

⬇ DOWNLOAD NOW
Kalau muncul iklan pop-up, tutup lalu klik tombol kembali

Download lagu Q3a. Maclaurin series expansion of f(x) | VTU Solved Question Paper - 18MAT11 secara gratis hanya untuk keperluan promosi. Dukung artis favorit kamu dengan membeli musik original di iTunes atau platform resmi lainnya.