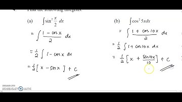
(4/4) Chapter 6 | 6.3 Integration of Trigonometric functions

Tonton & Download Video Musik Gratis

⬇ DOWNLOAD NOW
Kalau muncul iklan pop-up, tutup lalu klik tombol kembali

Download lagu (4/4) Chapter 6 | 6.3 Integration of Trigonometric functions secara gratis hanya untuk keperluan promosi. Dukung artis favorit kamu dengan membeli musik original di iTunes atau platform resmi lainnya.