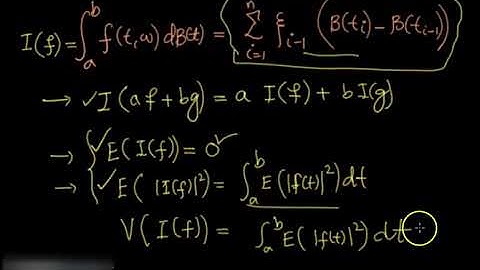
Learn Ito Integration For Adapted Stochastic Processes In This Video Sketch!

Tonton & Download Video Musik Gratis

⬇ DOWNLOAD NOW
Kalau muncul iklan pop-up, tutup lalu klik tombol kembali

Download lagu Learn Ito Integration For Adapted Stochastic Processes In This Video Sketch! secara gratis hanya untuk keperluan promosi. Dukung artis favorit kamu dengan membeli musik original di iTunes atau platform resmi lainnya.