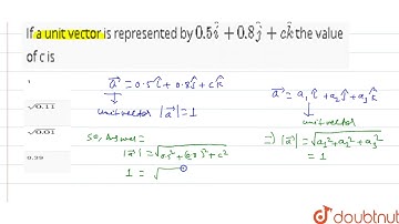
If a unit vector is represented by 0.4 hati+0.7 hatj + chatk then the value of c is | 11 | VECT...

Tonton & Download Video Musik Gratis

⬇ DOWNLOAD NOW
Kalau muncul iklan pop-up, tutup lalu klik tombol kembali

Download lagu If a unit vector is represented by 0.4 hati+0.7 hatj + chatk then the value of c is | 11 | VECT... secara gratis hanya untuk keperluan promosi. Dukung artis favorit kamu dengan membeli musik original di iTunes atau platform resmi lainnya.