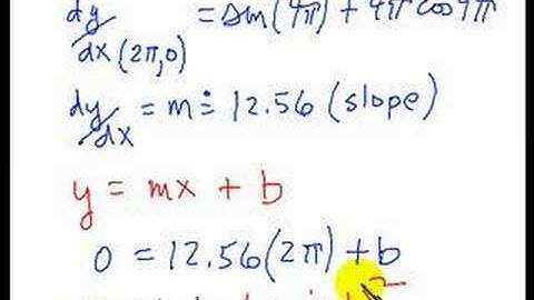
Finding an Equation of a Tangent Line In Exercises 67-74, (a) find an equation of the tangent line …

Tonton & Download Video Musik Gratis

⬇ DOWNLOAD NOW
Kalau muncul iklan pop-up, tutup lalu klik tombol kembali

Download lagu Finding an Equation of a Tangent Line In Exercises 67-74, (a) find an equation of the tangent line … secara gratis hanya untuk keperluan promosi. Dukung artis favorit kamu dengan membeli musik original di iTunes atau platform resmi lainnya.