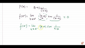
Discuss the continuity of functions at the indicated point(s): f(x)= (x-a)sin(1/x-a), x≠a ^ 0, x=a :

Tonton & Download Video Musik Gratis

⬇ DOWNLOAD NOW
Kalau muncul iklan pop-up, tutup lalu klik tombol kembali

Download lagu Discuss the continuity of functions at the indicated point(s): f(x)= (x-a)sin(1/x-a), x≠a ^ 0, x=a : secara gratis hanya untuk keperluan promosi. Dukung artis favorit kamu dengan membeli musik original di iTunes atau platform resmi lainnya.