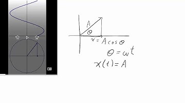
Phasors in Electrical Engineering - How to Develop the Phasor-Domain Expression of a Sinusoid

Tonton & Download Video Musik Gratis

⬇ DOWNLOAD NOW
Kalau muncul iklan pop-up, tutup lalu klik tombol kembali

Download lagu Phasors in Electrical Engineering - How to Develop the Phasor-Domain Expression of a Sinusoid secara gratis hanya untuk keperluan promosi. Dukung artis favorit kamu dengan membeli musik original di iTunes atau platform resmi lainnya.