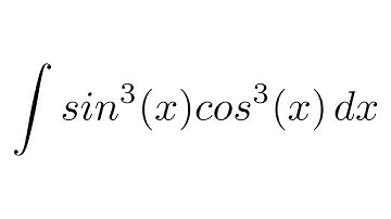
Integral of sin^3 x cos^3 x || Integration of trigonometric functions #shorts #maths #integration

Tonton & Download Video Musik Gratis

⬇ DOWNLOAD NOW
Kalau muncul iklan pop-up, tutup lalu klik tombol kembali

Download lagu Integral of sin^3 x cos^3 x || Integration of trigonometric functions #shorts #maths #integration secara gratis hanya untuk keperluan promosi. Dukung artis favorit kamu dengan membeli musik original di iTunes atau platform resmi lainnya.