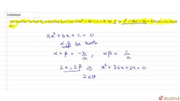
The equation formed by multiplying each root of `ax^(2) + bx+ c = 0\" by \"2 \" is \"x^(2) =`

Tonton & Download Video Musik Gratis

⬇ DOWNLOAD NOW
Kalau muncul iklan pop-up, tutup lalu klik tombol kembali

Download lagu The equation formed by multiplying each root of `ax^(2) + bx+ c = 0\" by \"2 \" is \"x^(2) =` secara gratis hanya untuk keperluan promosi. Dukung artis favorit kamu dengan membeli musik original di iTunes atau platform resmi lainnya.