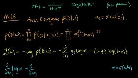
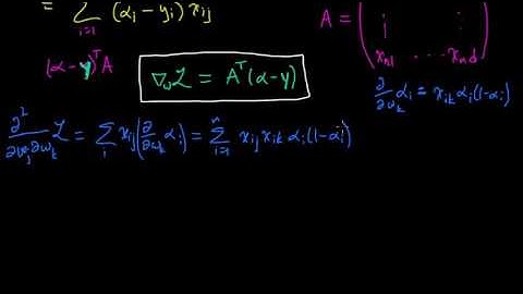
(ML 15.7) Logistic regression (binary) - applying Newton's method-X-7sA83PjPM.mkv

Tonton & Download Video Musik Gratis

⬇ DOWNLOAD NOW
Kalau muncul iklan pop-up, tutup lalu klik tombol kembali

Download lagu (ML 15.7) Logistic regression (binary) - applying Newton's method-X-7sA83PjPM.mkv secara gratis hanya untuk keperluan promosi. Dukung artis favorit kamu dengan membeli musik original di iTunes atau platform resmi lainnya.