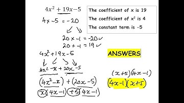
Factorising Quadratic Expressions 2 (with negatives) #maths #revision #gcse #quadraticequation

Tonton & Download Video Musik Gratis

⬇ DOWNLOAD NOW
Kalau muncul iklan pop-up, tutup lalu klik tombol kembali

Download lagu Factorising Quadratic Expressions 2 (with negatives) #maths #revision #gcse #quadraticequation secara gratis hanya untuk keperluan promosi. Dukung artis favorit kamu dengan membeli musik original di iTunes atau platform resmi lainnya.