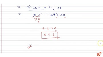
If f(x) is a quadratic expression such that f(1)+f(2)=0 and -1 is a root of f(x) = 0, ....

Tonton & Download Video Musik Gratis

⬇ DOWNLOAD NOW
Kalau muncul iklan pop-up, tutup lalu klik tombol kembali

Download lagu If f(x) is a quadratic expression such that f(1)+f(2)=0 and -1 is a root of f(x) = 0, .... secara gratis hanya untuk keperluan promosi. Dukung artis favorit kamu dengan membeli musik original di iTunes atau platform resmi lainnya.