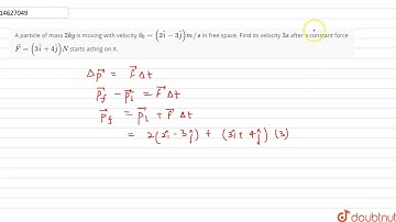
A particle having mass \( 2 \mathrm{~kg} \) is moving with velocity...

Tonton & Download Video Musik Gratis

⬇ DOWNLOAD NOW
Kalau muncul iklan pop-up, tutup lalu klik tombol kembali

Download lagu A particle having mass \( 2 \mathrm{~kg} \) is moving with velocity... secara gratis hanya untuk keperluan promosi. Dukung artis favorit kamu dengan membeli musik original di iTunes atau platform resmi lainnya.