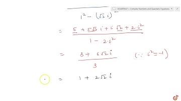
Example 6 - Express in the form of a + ib: (5 + √2i) / (1 - √2i) || class 12 chapter5 Example 6 (i)

Tonton & Download Video Musik Gratis

⬇ DOWNLOAD NOW
Kalau muncul iklan pop-up, tutup lalu klik tombol kembali

Download lagu Example 6 - Express in the form of a + ib: (5 + √2i) / (1 - √2i) || class 12 chapter5 Example 6 (i) secara gratis hanya untuk keperluan promosi. Dukung artis favorit kamu dengan membeli musik original di iTunes atau platform resmi lainnya.