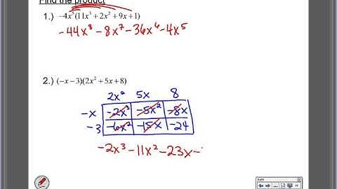
Algebra 2 - 5.2 Add Subtract Multiply and Divide Polynomials Part 2 of 2

Tonton & Download Video Musik Gratis

⬇ DOWNLOAD NOW
Kalau muncul iklan pop-up, tutup lalu klik tombol kembali

Download lagu Algebra 2 - 5.2 Add Subtract Multiply and Divide Polynomials Part 2 of 2 secara gratis hanya untuk keperluan promosi. Dukung artis favorit kamu dengan membeli musik original di iTunes atau platform resmi lainnya.