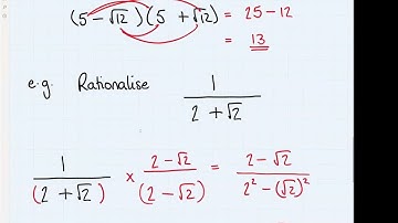
Surds and Rationalising the denominator step by step #maths #gcsemaths #mathsteacher

Tonton & Download Video Musik Gratis

⬇ DOWNLOAD NOW
Kalau muncul iklan pop-up, tutup lalu klik tombol kembali

Download lagu Surds and Rationalising the denominator step by step #maths #gcsemaths #mathsteacher secara gratis hanya untuk keperluan promosi. Dukung artis favorit kamu dengan membeli musik original di iTunes atau platform resmi lainnya.