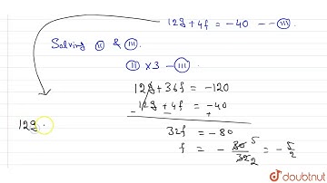
The circle passing through the intersection of the circle x^2 + y^2 -6x =0 and x^2+y^2 -4y =0,having

Tonton & Download Video Musik Gratis

⬇ DOWNLOAD NOW
Kalau muncul iklan pop-up, tutup lalu klik tombol kembali

Download lagu The circle passing through the intersection of the circle x^2 + y^2 -6x =0 and x^2+y^2 -4y =0,having secara gratis hanya untuk keperluan promosi. Dukung artis favorit kamu dengan membeli musik original di iTunes atau platform resmi lainnya.