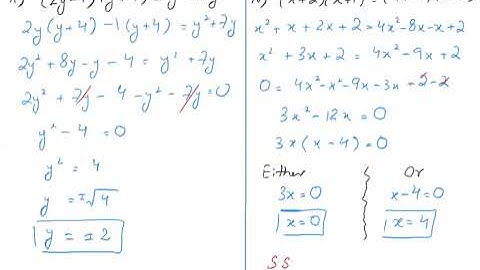
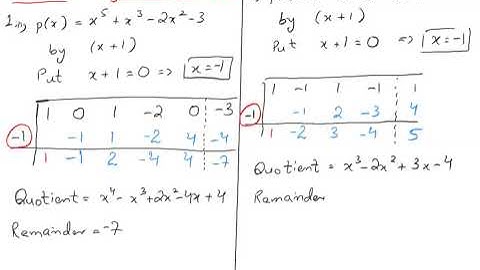
XI Math Chap 3 - Equations Ex 3.1 Synthetic Division - Solution by Sir Ahsan Abdullah Patel - Part 2

Tonton & Download Video Musik Gratis

⬇ DOWNLOAD NOW
Kalau muncul iklan pop-up, tutup lalu klik tombol kembali

Download lagu XI Math Chap 3 - Equations Ex 3.1 Synthetic Division - Solution by Sir Ahsan Abdullah Patel - Part 2 secara gratis hanya untuk keperluan promosi. Dukung artis favorit kamu dengan membeli musik original di iTunes atau platform resmi lainnya.