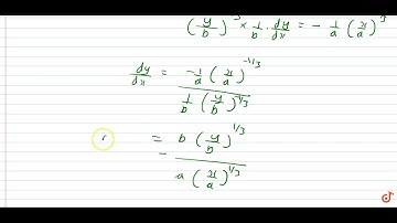
Show that the line x/a+y/b = 1 touches the curve y = b e^-x/a at the point where it cross the y axis

Tonton & Download Video Musik Gratis

⬇ DOWNLOAD NOW
Kalau muncul iklan pop-up, tutup lalu klik tombol kembali

Download lagu Show that the line x/a+y/b = 1 touches the curve y = b e^-x/a at the point where it cross the y axis secara gratis hanya untuk keperluan promosi. Dukung artis favorit kamu dengan membeli musik original di iTunes atau platform resmi lainnya.