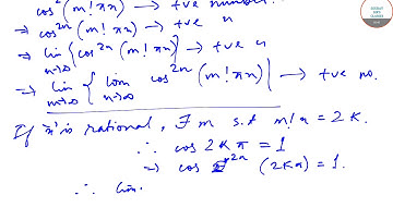
ISI MSTAT 2018 QUESTION PAPER SOLUTION WITH FULL AND DETAILED EXPLANATION. EXAM PATTERN.

Tonton & Download Video Musik Gratis

⬇ DOWNLOAD NOW
Kalau muncul iklan pop-up, tutup lalu klik tombol kembali

Download lagu ISI MSTAT 2018 QUESTION PAPER SOLUTION WITH FULL AND DETAILED EXPLANATION. EXAM PATTERN. secara gratis hanya untuk keperluan promosi. Dukung artis favorit kamu dengan membeli musik original di iTunes atau platform resmi lainnya.