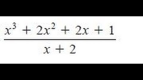
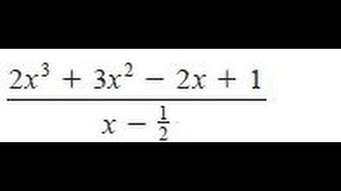
Exercise 2.5 Q1. Find quotient Q(x), remainder R using synthetic division. ii) 2x^3-7x^2+12x-27: x-3

Tonton & Download Video Musik Gratis

⬇ DOWNLOAD NOW
Kalau muncul iklan pop-up, tutup lalu klik tombol kembali

Download lagu Exercise 2.5 Q1. Find quotient Q(x), remainder R using synthetic division. ii) 2x^3-7x^2+12x-27: x-3 secara gratis hanya untuk keperluan promosi. Dukung artis favorit kamu dengan membeli musik original di iTunes atau platform resmi lainnya.