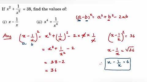
If x+1/x = 6 find x^2 + 1/x^2 and x^4+ 1/x^4 |Algebraic Identities

Tonton & Download Video Musik Gratis

⬇ DOWNLOAD NOW
Kalau muncul iklan pop-up, tutup lalu klik tombol kembali

Download lagu If x+1/x = 6 find x^2 + 1/x^2 and x^4+ 1/x^4 |Algebraic Identities secara gratis hanya untuk keperluan promosi. Dukung artis favorit kamu dengan membeli musik original di iTunes atau platform resmi lainnya.