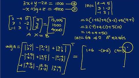
Class 12 Maths/ Exercise: 1.3- Q.No.5 /Chapter 1: Applications of Matrices and Determinants

Tonton & Download Video Musik Gratis

⬇ DOWNLOAD NOW
Kalau muncul iklan pop-up, tutup lalu klik tombol kembali

Download lagu Class 12 Maths/ Exercise: 1.3- Q.No.5 /Chapter 1: Applications of Matrices and Determinants secara gratis hanya untuk keperluan promosi. Dukung artis favorit kamu dengan membeli musik original di iTunes atau platform resmi lainnya.