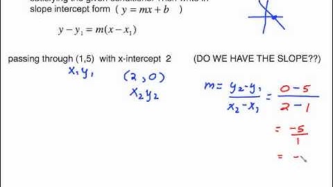
Lesson: Writing Equations of Lines using the Point-Slope Form of a Line

Tonton & Download Video Musik Gratis

⬇ DOWNLOAD NOW
Kalau muncul iklan pop-up, tutup lalu klik tombol kembali

Download lagu Lesson: Writing Equations of Lines using the Point-Slope Form of a Line secara gratis hanya untuk keperluan promosi. Dukung artis favorit kamu dengan membeli musik original di iTunes atau platform resmi lainnya.