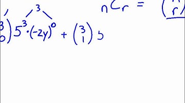
The Binomial Theorem #Chapter_2 #Exercise 2.3 #Examples [Students Nest]

Tonton & Download Video Musik Gratis

⬇ DOWNLOAD NOW
Kalau muncul iklan pop-up, tutup lalu klik tombol kembali

Download lagu The Binomial Theorem #Chapter_2 #Exercise 2.3 #Examples [Students Nest] secara gratis hanya untuk keperluan promosi. Dukung artis favorit kamu dengan membeli musik original di iTunes atau platform resmi lainnya.