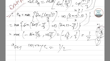
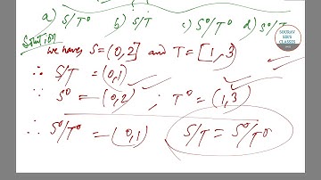
IIT JAM 2019 question no. 38 SOLVED, simple explanation for your understanding #souravsirclasses

Tonton & Download Video Musik Gratis

⬇ DOWNLOAD NOW
Kalau muncul iklan pop-up, tutup lalu klik tombol kembali

Download lagu IIT JAM 2019 question no. 38 SOLVED, simple explanation for your understanding #souravsirclasses secara gratis hanya untuk keperluan promosi. Dukung artis favorit kamu dengan membeli musik original di iTunes atau platform resmi lainnya.