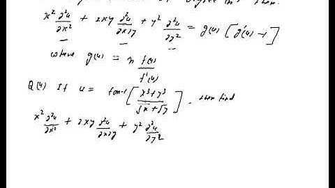
Shortcut- Euler theorem of homogeneous function|TGT|Master cadre|PGT|B.Sc||

Tonton & Download Video Musik Gratis

⬇ DOWNLOAD NOW
Kalau muncul iklan pop-up, tutup lalu klik tombol kembali

Download lagu Shortcut- Euler theorem of homogeneous function|TGT|Master cadre|PGT|B.Sc|| secara gratis hanya untuk keperluan promosi. Dukung artis favorit kamu dengan membeli musik original di iTunes atau platform resmi lainnya.