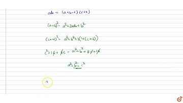
Let a, b, c be the sides of a triangle. No two of them are equal and λ∈ R. If the roots of the eq...

Tonton & Download Video Musik Gratis

⬇ DOWNLOAD NOW
Kalau muncul iklan pop-up, tutup lalu klik tombol kembali

Download lagu Let a, b, c be the sides of a triangle. No two of them are equal and λ∈ R. If the roots of the eq... secara gratis hanya untuk keperluan promosi. Dukung artis favorit kamu dengan membeli musik original di iTunes atau platform resmi lainnya.