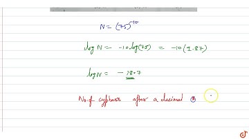
Given `log2=.30103` then find the number of ciphers between the decimal point and first signifi...

Tonton & Download Video Musik Gratis

⬇ DOWNLOAD NOW
Kalau muncul iklan pop-up, tutup lalu klik tombol kembali

Download lagu Given `log2=.30103` then find the number of ciphers between the decimal point and first signifi... secara gratis hanya untuk keperluan promosi. Dukung artis favorit kamu dengan membeli musik original di iTunes atau platform resmi lainnya.