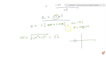
(i) Convert in polar form: (1 + 7i) / (2 − i)^2 - Complex Number - Teachoo

Tonton & Download Video Musik Gratis

⬇ DOWNLOAD NOW
Kalau muncul iklan pop-up, tutup lalu klik tombol kembali

Download lagu (i) Convert in polar form: (1 + 7i) / (2 − i)^2 - Complex Number - Teachoo secara gratis hanya untuk keperluan promosi. Dukung artis favorit kamu dengan membeli musik original di iTunes atau platform resmi lainnya.