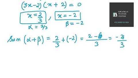
Find the zeroes of the following polynomials by factorisation method and verify the ( 4x^2 – 3x – 1)

Tonton & Download Video Musik Gratis

⬇ DOWNLOAD NOW
Kalau muncul iklan pop-up, tutup lalu klik tombol kembali

Download lagu Find the zeroes of the following polynomials by factorisation method and verify the ( 4x^2 – 3x – 1) secara gratis hanya untuk keperluan promosi. Dukung artis favorit kamu dengan membeli musik original di iTunes atau platform resmi lainnya.