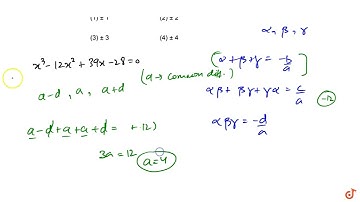
If the roots of x^3-12 x^2+39 x-28=0 are in AP then their common difference is (a) ± 1 (b) ± 2 (c...

Tonton & Download Video Musik Gratis

⬇ DOWNLOAD NOW
Kalau muncul iklan pop-up, tutup lalu klik tombol kembali

Download lagu If the roots of x^3-12 x^2+39 x-28=0 are in AP then their common difference is (a) ± 1 (b) ± 2 (c... secara gratis hanya untuk keperluan promosi. Dukung artis favorit kamu dengan membeli musik original di iTunes atau platform resmi lainnya.