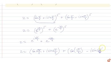
Let z (√3/2 + i/2)⁵ + (√3/2 - i/2)⁵. If R(z) andI(z) respectively denote the real and imaginary

Tonton & Download Video Musik Gratis

⬇ DOWNLOAD NOW
Kalau muncul iklan pop-up, tutup lalu klik tombol kembali

Download lagu Let z (√3/2 + i/2)⁵ + (√3/2 - i/2)⁵. If R(z) andI(z) respectively denote the real and imaginary secara gratis hanya untuk keperluan promosi. Dukung artis favorit kamu dengan membeli musik original di iTunes atau platform resmi lainnya.