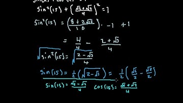
Write sin(15)cos(15) as a Single Trigonometric Function or Number in Exact Form

Tonton & Download Video Musik Gratis

⬇ DOWNLOAD NOW
Kalau muncul iklan pop-up, tutup lalu klik tombol kembali

Download lagu Write sin(15)cos(15) as a Single Trigonometric Function or Number in Exact Form secara gratis hanya untuk keperluan promosi. Dukung artis favorit kamu dengan membeli musik original di iTunes atau platform resmi lainnya.