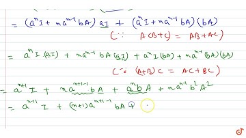
If A=[(1,0) ,(0,0)] and B=[(1,1), (0,0)] ,then B'A' is equal to

Tonton & Download Video Musik Gratis

⬇ DOWNLOAD NOW
Kalau muncul iklan pop-up, tutup lalu klik tombol kembali

Download lagu If A=[(1,0) ,(0,0)] and B=[(1,1), (0,0)] ,then B'A' is equal to secara gratis hanya untuk keperluan promosi. Dukung artis favorit kamu dengan membeli musik original di iTunes atau platform resmi lainnya.